On the acoustical theory of the trumpet : is it sound? : a thesis presented in partial fulfilment of the requirements for the degree of Master of Science in Mathematics at Massey University, New Zealand
Loading...
Date
1997
DOI
Open Access Location
Authors
Journal Title
Journal ISSN
Volume Title
Publisher
Massey University
Rights
The Author
Abstract
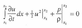
Newton's Second Law of Motion for one-dimensional inviscid flow of an incompressible fluid, in the absence of external forces, is often expressed in a form known as Bernoulli's equation:
There are two distinct forms of Bernoulli's equation used in the system of equations which is commonly considered to describe sound production in a trumpet. The flow between the trumpeter's lips is, in the literature, assumed to be quasi-steady. From this assumption, the first term of the above Bernoulli equation is omitted, since it is then small in comparison to the other two terms. The flow within the trumpet itself is considered to consist of small fluctuations about some mean velocity and pressure. A linearized version of Bernoulli's equation (as used in the equations of linear acoustics) is then adequate to describe the flow. In this case it is the second term of the above equation which is neglected, and the first term is retained. Given that the flow between the trumpeter's lips is that same flow which enters the trumpet itself, a newcomer to the field of trumpet modelling might wonder whether the accepted model is really correct when these two distinct versions of the Bernoulli Equation are used side by side. This thesis addresses this question, and raises others that arise from a review of the standard theory of trumpet physics. The investigation comprises analytical and experimental components, as well as computational simulations. No evidence has been found to support the assumption of quasi-steady flow between the lips of a trumpeter. An alternative flow equation is proposed, and conditions given for its applicability. [NB: Mathematical/chemical formulae or equations have been omitted from the abstract due to website limitations. Please read the full text PDF file for a complete abstract.]
Description
Keywords
Air flow, Mathematical models, Trumpet, Music Acoustics Physics, Bernoulli polynomials
