Point and Lie Bäcklund symmetries of certain partial differential equations : a thesis presented in partial fulfilment of the requirements for the degree of MA in Mathematics at Massey University
Loading...
Date
1994
DOI
Open Access Location
Authors
Journal Title
Journal ISSN
Volume Title
Publisher
Massey University
Rights
The Author
Abstract
The aim of this thesis is to: (1) Explore the use of differential forms in obtaining point and contact symmetries of particular partial differential equations (PDEs) and hence their corresponding similarity solutions. [1] and [4]. (2) Explore the generalized or Lie-Bäcklund symmetries of particular PDEs with particular reference to the Korteweg-de Vries-Burgers (KdVB) equation [3]. Finding point symmetries of a PDE H = 0 with independent variables (x1,x2
) which we take to represent space and time and dependent variable (u) means finding the transformation group
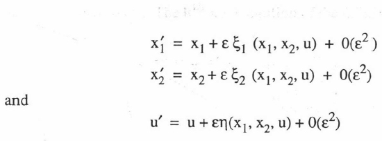
that takes the variables (x1, x2, u) to the system (x´1, x´2
, u´
) and maps solutions of H = 0 into solutions of the same equation. The form of H = 0 remains invariant. The transformation group is usually expressed in terms of its infinitesimal generator (X) where
using the tensor summation convention. X can be considered as a differential vector operator with components (ξ1
, ξ2
, η) operating in a three dimensional manifold (space) with coordinates (x1
, x2
, u). The invariance of H = 0 under the transformation group is expressed in terms of a suitable prolongation or extension of X (denoted by X(pr)
) to cover the effect of the transformations on the derivatives of u in H = 0. The invariance condition for H = 0 under the action of the transformation group is (Pr)
[H] = 0 whenever H = 0. We consider x1
, x2
, u and the derivatives of u to be independent variables. In practical terms, finding point symmetries of H = 0 means finding the components (ξ1
, ξ2
, η) of the infinitesimal generator (X). There are two general methods for finding ξ1
, ξ2
η. [From Introduction]
[NB: Mathematical/chemical formulae or equations have been omitted from the abstract due to website limitations. Please read the full text PDF file for a complete abstract.]
Description
Keywords
Differential equations, Lie groups, Differential equations, Partial, Korteweg-de Vries equation
