Point and Lie Bäcklund symmetries of certain partial differential equations : a thesis presented in partial fulfilment of the requirements for the degree of MA in Mathematics at Massey University
| dc.contributor.author | Pigeon, David Leslie | |
| dc.date.accessioned | 2018-05-08T23:14:02Z | |
| dc.date.available | 2018-05-08T23:14:02Z | |
| dc.date.issued | 1994 | |
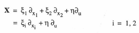
| dc.description.abstract | The aim of this thesis is to: (1) Explore the use of differential forms in obtaining point and contact symmetries of particular partial differential equations (PDEs) and hence their corresponding similarity solutions. [1] and [4]. (2) Explore the generalized or Lie-Bäcklund symmetries of particular PDEs with particular reference to the Korteweg-de Vries-Burgers (KdVB) equation [3]. Finding point symmetries of a PDE H = 0 with independent variables (x1,x2 ) which we take to represent space and time and dependent variable (u) means finding the transformation group that takes the variables (x1, x2, u) to the system (x´1, x´2 , u´ ) and maps solutions of H = 0 into solutions of the same equation. The form of H = 0 remains invariant. The transformation group is usually expressed in terms of its infinitesimal generator (X) where using the tensor summation convention. X can be considered as a differential vector operator with components (ξ1 , ξ2 , η) operating in a three dimensional manifold (space) with coordinates (x1 , x2 , u). The invariance of H = 0 under the transformation group is expressed in terms of a suitable prolongation or extension of X (denoted by X(pr) ) to cover the effect of the transformations on the derivatives of u in H = 0. The invariance condition for H = 0 under the action of the transformation group is (Pr) [H] = 0 whenever H = 0. We consider x1 , x2 , u and the derivatives of u to be independent variables. In practical terms, finding point symmetries of H = 0 means finding the components (ξ1 , ξ2 , η) of the infinitesimal generator (X). There are two general methods for finding ξ1 , ξ2 η. [From Introduction] [NB: Mathematical/chemical formulae or equations have been omitted from the abstract due to website limitations. Please read the full text PDF file for a complete abstract.] | en_US |
| dc.identifier.uri | http://hdl.handle.net/10179/13340 | |
| dc.identifier.wikidata | Q112853631 | |
| dc.identifier.wikidata-uri | https://www.wikidata.org/wiki/Q112853631 | |
| dc.language.iso | en | en_US |
| dc.publisher | Massey University | en_US |
| dc.rights | The Author | en_US |
| dc.subject | Differential equations | en_US |
| dc.subject | Lie groups | en_US |
| dc.subject | Differential equations, Partial | en_US |
| dc.subject | Korteweg-de Vries equation | en_US |
| dc.title | Point and Lie Bäcklund symmetries of certain partial differential equations : a thesis presented in partial fulfilment of the requirements for the degree of MA in Mathematics at Massey University | en_US |
| dc.type | Thesis | en_US |
| massey.contributor.author | Pigeon, David Leslie | |
| thesis.degree.discipline | Mathematics | en_US |
| thesis.degree.grantor | Massey University | en_US |
| thesis.degree.level | Masters | en_US |
| thesis.degree.name | Master of Arts (M.A.) | en_US |
Files
Original bundle
1 - 4 of 4
Loading...
- Name:
- Item_03775-1.jpg
- Size:
- 36.41 KB
- Format:
- Joint Photographic Experts Group/JPEG File Interchange Format (JFIF)
- Description:
Loading...
- Name:
- Item_03775-2.jpg
- Size:
- 21.01 KB
- Format:
- Joint Photographic Experts Group/JPEG File Interchange Format (JFIF)
- Description:
License bundle
1 - 1 of 1
Loading...

- Name:
- license.txt
- Size:
- 3.32 KB
- Format:
- Item-specific license agreed upon to submission
- Description:
